#US-IranTalksStall
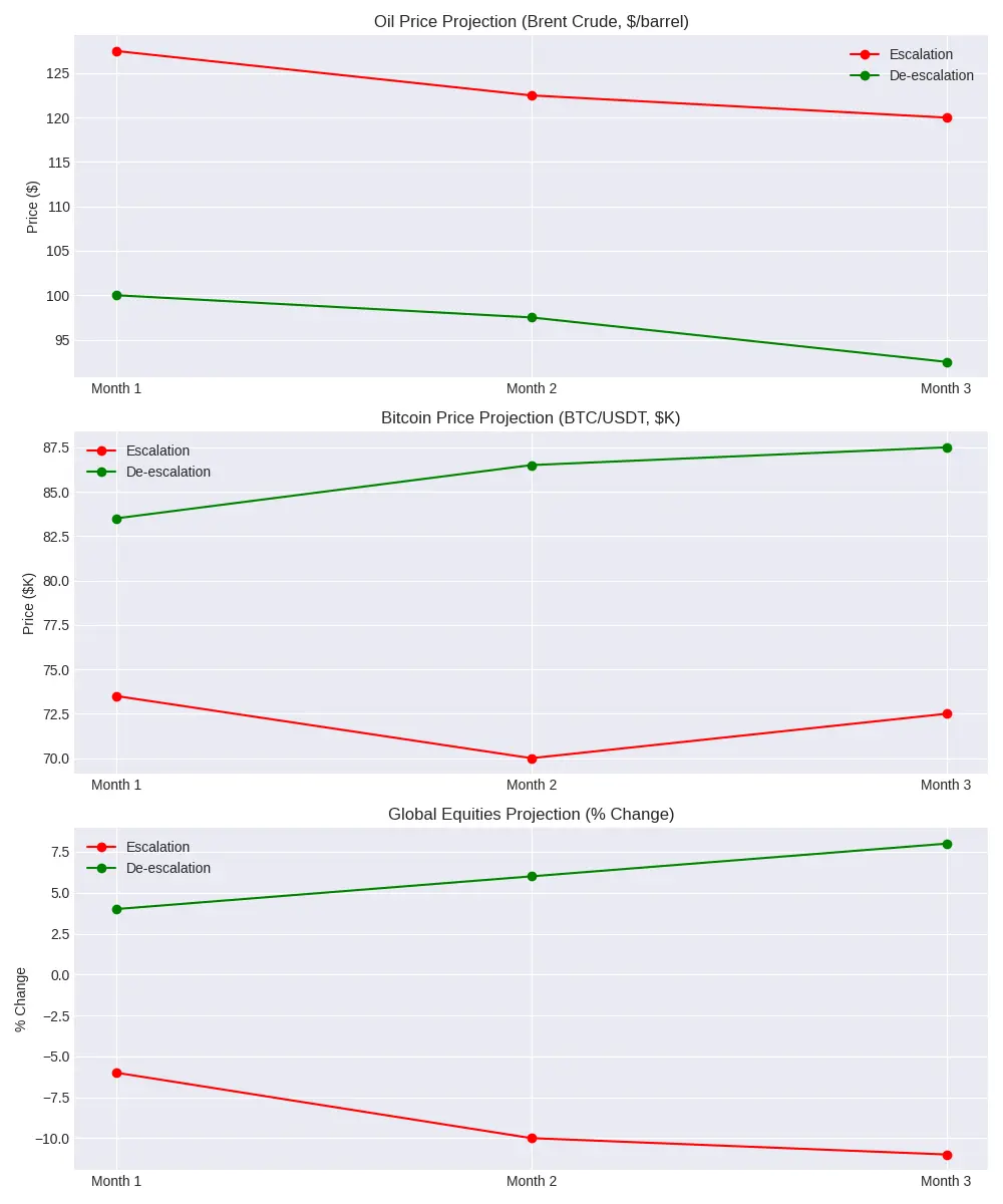
最新の米国とイランの交渉の崩壊は、今週の世界金融市場を形成する最大のマクロイベントの一つとなり、暗号通貨トレーダーは今や直接的な圧力を感じている。パキスタンのイスラマバードで行われたほぼ21時間に及ぶマラソン交渉の後、両者は突破口を見出せず、市場は新たな不確実性、原油価格の上昇、リスク資産全体のボラティリティの拡大に直面している。
交渉停滞の最大の理由はイランの核プログラムにある。ワシントンは、イランが核兵器開発への道を恒久的に放棄するという明確なコミットメントを求めた。しかし、イランはこれらの条件を受け入れず、米国副大統領のJDヴァンスは、テヘランがワシントンの条件に同意しないことを確認した。これが外交的解決を妨げる最大の障害となっている。
二つ目の重要な火種はホルムズ海峡であり、世界で最も戦略的に重要な水路の一つで、全世界の石油輸送の約20%を担っている。今年初めの敵対行為以来、イランの海峡周辺の行動は世界のエネルギー市場に大きな混乱を引き起こしている。トランプ大統領はイランの港に対する海軍封鎖を維持し、経済的圧力を強め、原油価格を急騰させた。
イランが一時的な地域停戦後に海峡の再開を示唆した後も、ワシントンは封鎖解除を拒否した。米軍が封鎖に挑戦しようとしたイラン旗艦の船舶を拿捕したことで緊張はさらに高まり、テヘランは今後の交渉からの完全撤退を脅した。この地政学的行き詰まりは、今やビットコインに直接的な影響を与えている。
BTCは最近、79,000ドルの抵抗ゾーンを突破しようと試みたが、拒否されて反落し、76,962ドルから78,570ドルの範囲に戻った。この価格動向は、市場の警戒感が高まる中、投資家が防御的なポジションにシフトしていることを反映している。世界的な不確実性が高まると、トレーダーはしばしば金や米ドルなどの伝統的な安全資産に向かい、一時的に暗号市場に圧力をかける。
技術的な観点から見ると、ビットコインは長期的には全体的に強気の構造を維持しているが、警告サインも見え始めている。4時間足チャートは、強気の移動平均線の整列を示しており、買い手が依然として全体のトレンドを支配していることを示唆している。しかし、MACDのダイバージェンスは勢いの弱まりを示し、日足の指標は買われ過ぎの状態を示しており、短期的な調整の可能性を高めている。
現在の主要なサポートゾーンは76,300ドルから76,700ドルの間に位置している。このレベルを維持できれば、BTCは再び79,000ドルに向けて押し上げを試み、次の動きで82,000ドルを目指す可能性もある。しかし、地政学的緊張が高まり、原油価格が引き続き上昇すれば、より強い下落圧力が働き、ビットコインは75,000ドルや主要なサポート地域の72,000ドル付近まで下落する可能性もある。
原油価格の上昇はインフレ懸念も引き起こし、連邦準備制度理事会(FRB)が金利を長期間高水準に維持する必要性を高める可能性がある。これは一般的に暗号のような高リスク資産にとってマイナスであり、短期的にはBTCの上昇モメンタムを制限する可能性がある。
トレーダーにとって、これは忍耐が重要な市場だ。ポジションサイズを小さくし、リスク管理を厳格にし、規律あるエントリーを行うことが不可欠だ。サポートゾーン付近での積み増し戦略は長期投資家にとって依然として有効であり、一方、短期トレーダーは突発的なヘッドラインによるボラティリティに警戒すべきだ。
今のところ、ビットコインは単なるテクニカルだけでなく、地政学も取引している。そして、米国とイランの関係に明確さが戻るまでは、ボラティリティが市場の真の支配者であり続けるだろう。
#GateSquare #CreatorCarnival #ContentMining #Gate13周年
最新の米国とイランの交渉の崩壊は、今週の世界金融市場を形成する最大のマクロイベントの一つとなり、暗号通貨トレーダーは今や直接的な圧力を感じている。パキスタンのイスラマバードで行われたほぼ21時間に及ぶマラソン交渉の後、両者は突破口を見出せず、市場は新たな不確実性、原油価格の上昇、リスク資産全体のボラティリティの拡大に直面している。
交渉停滞の最大の理由はイランの核プログラムにある。ワシントンは、イランが核兵器開発への道を恒久的に放棄するという明確なコミットメントを求めた。しかし、イランはこれらの条件を受け入れず、米国副大統領のJDヴァンスは、テヘランがワシントンの条件に同意しないことを確認した。これが外交的解決を妨げる最大の障害となっている。
二つ目の重要な火種はホルムズ海峡であり、世界で最も戦略的に重要な水路の一つで、全世界の石油輸送の約20%を担っている。今年初めの敵対行為以来、イランの海峡周辺の行動は世界のエネルギー市場に大きな混乱を引き起こしている。トランプ大統領はイランの港に対する海軍封鎖を維持し、経済的圧力を強め、原油価格を急騰させた。
イランが一時的な地域停戦後に海峡の再開を示唆した後も、ワシントンは封鎖解除を拒否した。米軍が封鎖に挑戦しようとしたイラン旗艦の船舶を拿捕したことで緊張はさらに高まり、テヘランは今後の交渉からの完全撤退を脅した。この地政学的行き詰まりは、今やビットコインに直接的な影響を与えている。
BTCは最近、79,000ドルの抵抗ゾーンを突破しようと試みたが、拒否されて反落し、76,962ドルから78,570ドルの範囲に戻った。この価格動向は、市場の警戒感が高まる中、投資家が防御的なポジションにシフトしていることを反映している。世界的な不確実性が高まると、トレーダーはしばしば金や米ドルなどの伝統的な安全資産に向かい、一時的に暗号市場に圧力をかける。
技術的な観点から見ると、ビットコインは長期的には全体的に強気の構造を維持しているが、警告サインも見え始めている。4時間足チャートは、強気の移動平均線の整列を示しており、買い手が依然として全体のトレンドを支配していることを示唆している。しかし、MACDのダイバージェンスは勢いの弱まりを示し、日足の指標は買われ過ぎの状態を示しており、短期的な調整の可能性を高めている。
現在の主要なサポートゾーンは76,300ドルから76,700ドルの間に位置している。このレベルを維持できれば、BTCは再び79,000ドルに向けて押し上げを試み、次の動きで82,000ドルを目指す可能性もある。しかし、地政学的緊張が高まり、原油価格が引き続き上昇すれば、より強い下落圧力が働き、ビットコインは75,000ドルや主要なサポート地域の72,000ドル付近まで下落する可能性もある。
原油価格の上昇はインフレ懸念も引き起こし、連邦準備制度理事会(FRB)が金利を長期間高水準に維持する必要性を高める可能性がある。これは一般的に暗号のような高リスク資産にとってマイナスであり、短期的にはBTCの上昇モメンタムを制限する可能性がある。
トレーダーにとって、これは忍耐が重要な市場だ。ポジションサイズを小さくし、リスク管理を厳格にし、規律あるエントリーを行うことが不可欠だ。サポートゾーン付近での積み増し戦略は長期投資家にとって依然として有効であり、一方、短期トレーダーは突発的なヘッドラインによるボラティリティに警戒すべきだ。
今のところ、ビットコインは単なるテクニカルだけでなく、地政学も取引している。そして、米国とイランの関係に明確さが戻るまでは、ボラティリティが市場の真の支配者であり続けるだろう。
#GateSquare #CreatorCarnival #ContentMining #Gate13周年
















